[点晴模切ERP]质量管理常用的18个公式
|
admin
2024年7月23日 0:43
本文热度 7790
|
前言:质量管理对于一家生产制造业的企业的重要性是毋庸置疑的,以下这18个质量管理常用的公式,可以让你事半功倍,还不赶紧收藏!
1、废品率
定义:该百分比由废品材料费用除以总生产成本或由废品总数量除以产品总生产数量得到。目的:用作结果度量,来确定过程是否按照规范化进行零件生产和装配。公式:废品率%=(废品的材料金额/总生产成本)×100% 或(废品总数量/产品总生产数量)×100%。- 总生产成本:是劳动力,材料和工厂负担(水、电等)的总和。
应用/信息:废品计算是直接从本单位的财务系统中得到其数值。若公司的财务系统不能从劳动力和负担费用中分离出废品材料价值,应尽快与相关部门协调解决。
定义:花费在返工活动中时间的比例,由返工工时除以生产劳动工时或返工(返修)品的总数量除以总的生产数量得到。目的:用作结果度量,来强调那些在第一次质量中需要改进的操作工位。公式:返工率%=(返工工时/总生产劳动工时)×100% 或(返工(返修)品的总数量/总的生产数量)×100%。- 返工工时:是指再次加工,分拣,修复那些将成为废品的工件所花费的时间。这些时间可以是用在在制品,成品和外购部件或材料上。返工时间包括诸如修复,重新包装,再分拣,附加的检查活动和遏制等。返工时间包括内部的或外部的活动。应包括直接时间加上加班时间中的直接时间部分。
- 生产劳动工时:直接/生产劳动工人工作时间总和(包括直接时间加上加班时间中的直接时间部分)。
直接劳动工人的偶尔检查不应认为是返工。任何再进入生产过程的产品应被认为返工。生产线的总劳动内容的一部分应认为是返工。该部分将根据返工的产品情况确定。譬如,在最终检查时,涂漆生产线有10%的产品不合格,而该涂漆生产线共有20名操作员,返工的产品(10%)需要再次涂漆,涂漆生产线总工作时间的10%被认为是用来返工。10%×20人×8小时=16 返工小时。
定义:产品入库检验合格数量除以入库检验总数量所得。目的:用作过程度量,用来衡量整个生产过程的质量水平。公式:产品入库检验合格率%=(产品入库检验合格数量/入库检验总数量)×100%。
定义:每百万件产品中客户退货/拒收的数量或不合格产品数量占全部发运数量或全部生产总数的比值。目的:用作结果度量,来全面显示产品不满意造成的影响,使得集中精力解决问题。公式:顾客退货率 = 退回件数/发货件数产品总数量 *1,000,000 或产品不良率=不合格总数/产品总数量 *1,000,000。
定义:每年由于产品不合格引起的生产停顿次数。导致公司停止发货,停止生产或者要求将已制造的产品进行修正。目的:用作整体结果度量,反应由公司质量事故次数引起的产品不满意,以利于集中精力解决问题。公式:质量事故 = 每年公司定义的质量事故造成的工厂生产停顿次数。
定义:巡检合格率或工序合格率即零件生产过程一次合格数量除以零件生产总数量所得或加权平均所得;零件加工不良率为零件不合格总数除以零件生产投入数量所得。目的:用作过程度量,用来确定生产工序过程的质量水平。公式:(巡检合格率或工序合格率)%=(工序一次合格数量/零件生产总数量)×100% 零件加工不良率=(零件不合格数量/零件生产投入数量)×1,000,000。
定义:指交付的产品,一次通过顾客验货合格接收的数量除以交付产品的总数量。公式:顾客验货一次通过率%=(一次通过顾客验货合格接收的数量/交付产品的总数量)×100%。
定义:一定时间内,进料检验合格数量除以进料检验数量所得。公式:进料检验合格率%=(进料检验合格数量/进料检验总数量)×100%。
目的:用作结果度量,用来反映公司质量管理体系运行有效性的综合成果体现。公式:质量成本=内部故障(损失)成本+外部故障(损失)成本;内部故障(损失)成本=报废损失费+返工或返修损失费;外部故障(损失)成本=顾客退货损失费+产品责任费+投诉费;质量成本占销售额比率=(质量成本÷销售额)×100%。定义:是指在一定期间内,在所有的检验批中,若因检验判定不合格而整个检验批需要返工(或返修或报废)的批数占总的检验批的批数的比例。公式:批量不合格率= 不合格批数/总的检验批数*100%。

- Ci:内部损失成本,它由报废损失率、返修率、仃工费、 降级损失率、 产品质量事故处理费等组成
- Ce :外部损失成本,它由索赔费、退货损失费、折价损失费、保修费等组成
Po :工业总产值(均为现行价)
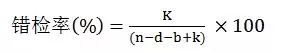
定义:就是把合格品当成了不合格品(即在检查后的不合格品中还有合格品)

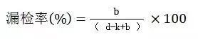
定义:就是把不合格品当成了合格品(即在检查后的合格品中还有不合格品)





(进厂检验时退货)

点晴模切ERP更多信息:https://moqie.clicksun.cn,联系电话:4001861886
该文章在 2024/7/23 12:07:14 编辑过